Derivatives Of Log. Functions... HELP!!! Calculus II is a Bitch!
Think Calc is hard...just wait for thermo. Nothing better than a take home test with one problem that takes 40hrs to complete.
It's even better when your professor's English is about as clear as mud.
I will say it is all worth it in the end. A professional salaried job makes playing with cars and racing a little easier. Stick with it!
It's even better when your professor's English is about as clear as mud.
I will say it is all worth it in the end. A professional salaried job makes playing with cars and racing a little easier. Stick with it!
I grdauated in May, my last math course was calc three sophomore year
to be honest I have no idea. Calc was never that hard for me, the problem is you have teachers instead of teaching you the overall concept and then walking you through derivations for each case, they try to teach you "rules" for each type, ie chain rule or whatever. It really didn't click until i took a class after differential equations that I cant remember the name of.
But pat, get one of those calculators that does everything. I had a voyage 200, but while they wouldn't let me use it in test it allowed me to double check all my answers for hw
to be honest I have no idea. Calc was never that hard for me, the problem is you have teachers instead of teaching you the overall concept and then walking you through derivations for each case, they try to teach you "rules" for each type, ie chain rule or whatever. It really didn't click until i took a class after differential equations that I cant remember the name of. But pat, get one of those calculators that does everything. I had a voyage 200, but while they wouldn't let me use it in test it allowed me to double check all my answers for hw
Dude thermo is easy, just remember to assume everything doesnt exist, wait for heat trasnfer then you cant its all taken into account. If i ever have to nondimensionalize a problem again ill shoot myself in the face.
Thread Starter
Elite Member
iTrader: (16)
Joined: Aug 2007
Posts: 9,406
Total Cats: 559
From: Houston, TX
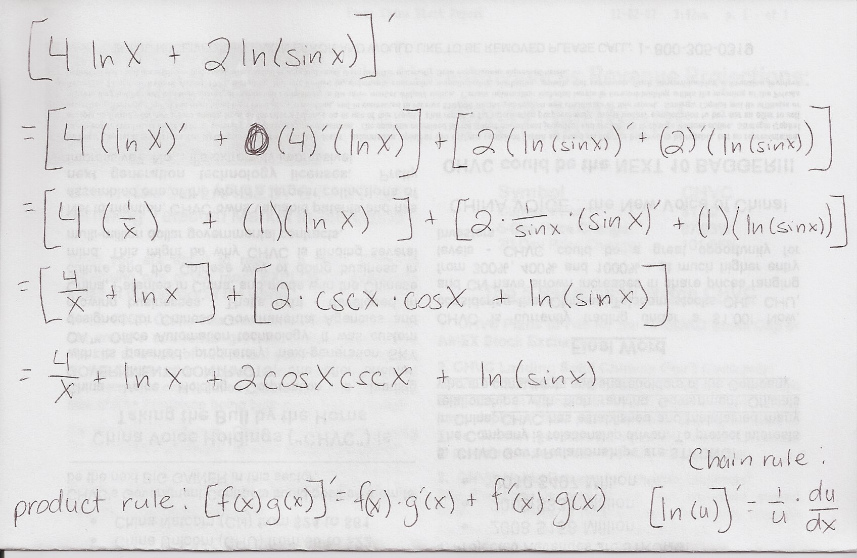
Thanks Ben, that helps. Then you can simplify 2(cos/sin)x to 2cotx. That's the final answer in my notes, so that must be how to get to it.
Thanks everybody for all the help. This is the best turbochaged miata/Calculus help Forum in the world!!!
Thanks everybody for all the help. This is the best turbochaged miata/Calculus help Forum in the world!!!
Right.
FWIW, I got help w/ that. There's a math major (grad w/ honors) in the kitchen. :gay:
FWIW, I got help w/ that. There's a math major (grad w/ honors) in the kitchen. :gay:
Thread Starter
Elite Member
iTrader: (16)
Joined: Aug 2007
Posts: 9,406
Total Cats: 559
From: Houston, TX
Do any higer level calculators actually show the steps involved to solving the problem? Perhaps that's asking too much, but if I'm buying it to help me learn, that would be the deciding factor come time to buy one.
That's what solutions manuals are for. If you google questions from the book alot of times you can find an uploaded solutions manual. Even bittorrent might have it.
Problem: Y=ln(x^4(sin^2(x))) Find first derivative.
=(d/dx) ln(x^4(sin^2(x)))
=4lnx+ 2lnsin^2x
=(4/x)+2(1/sinx)cosx
=(4/x)+2cotx
^^that is your answer
I have the same book but I am in calc one, i hate differentiations
*EDIT* sorry i didnt realize you already had the answer
=(d/dx) ln(x^4(sin^2(x)))
=4lnx+ 2lnsin^2x
=(4/x)+2(1/sinx)cosx
=(4/x)+2cotx
^^that is your answer
I have the same book but I am in calc one, i hate differentiations
*EDIT* sorry i didnt realize you already had the answer








loki you my math hero
Perhaps a higher level Texas Instruments? I've never heard of a Voyage before.