Water temo gauge thermistor values?
Thread Starter
Senior Member
iTrader: (1)
Joined: Sep 2011
Posts: 1,215
Total Cats: 74
From: Lambertville, NJ
Since my new block is still sitting at the machine shop, I decided to prepare now for making sure I don't kill the new engine. One thing I'm doing is make my stock gauges (oil pressure and water temp) display real values.
The stock water temp gauge is quite useless- between 160* and 210* it just sticks straight up. And of course the stock oil pressure gauge on an NB is totally useless.
I made a little circuit that allows me to take the non-linearity out of the gauges and it seems to work great. But in order to use it, I need to know the characteristics of the stock water-temp thermistor. This is the thermistor for the gauge- not the thermistor for the ECU (there are two- right?)
If it's the same as the ECU thermistor- great. I got those values. If not, what are they?
Also, does anybody have the resistance-curve for a VDO 90 psi pressure transducer? VDO pulblishes values for all kinds of sensors, but not the 90psi one it seems.
Thanks!
The stock water temp gauge is quite useless- between 160* and 210* it just sticks straight up. And of course the stock oil pressure gauge on an NB is totally useless.
I made a little circuit that allows me to take the non-linearity out of the gauges and it seems to work great. But in order to use it, I need to know the characteristics of the stock water-temp thermistor. This is the thermistor for the gauge- not the thermistor for the ECU (there are two- right?)
If it's the same as the ECU thermistor- great. I got those values. If not, what are they?
Also, does anybody have the resistance-curve for a VDO 90 psi pressure transducer? VDO pulblishes values for all kinds of sensors, but not the 90psi one it seems.
Thanks!
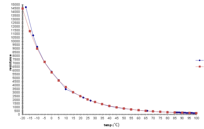
same as ecu.
R °C
14660 -17,8
10800 -12,8
9250 -10
7200 -5
5850 0
4700 5
3450 10
3000 15
2320 22
1890 27
1700 30
1140 40
820 50
700 55
600 60
500 66
440 70
380 75
330 80
285 85
280 86
272 87
265 88
260 89
250 90
245 91
238 92
233 93
225 94
220 95
215 96
207 97
200 98
192 99
190 100
R °C
14660 -17,8
10800 -12,8
9250 -10
7200 -5
5850 0
4700 5
3450 10
3000 15
2320 22
1890 27
1700 30
1140 40
820 50
700 55
600 60
500 66
440 70
380 75
330 80
285 85
280 86
272 87
265 88
260 89
250 90
245 91
238 92
233 93
225 94
220 95
215 96
207 97
200 98
192 99
190 100
Thread Starter
Senior Member
iTrader: (1)
Joined: Sep 2011
Posts: 1,215
Total Cats: 74
From: Lambertville, NJ
I finished my little gizmo to linearize the gauges. Unfortunately it turns out that on my '99 the sender that feeds the water temp gauge is completely different from the sender to the ECU. At 195*F it has 34 Ohms. At 120*F it's 194 Ohms.
Nowhere close to the ECU water temp sensor.
Does anybody else have any data on this? I really don't feel like taking it out and putting it in a pot of boiling water :-)
Nowhere close to the ECU water temp sensor.
Does anybody else have any data on this? I really don't feel like taking it out and putting it in a pot of boiling water :-)
I measured that coolant sensor (on my car there's only the one coolant sender?) using another known thermistor and a thermocouple as reference, and it was literally one or two Ohms away from the published specs by DIY.
Here is the curve I am using:
-30 23828
-25 18494
-20 14453
-15 11369
-10 8999
-5 7168
0 5743
5 4627
10 3749
15 3053
20 2499
25 2056
30 1700
35 1412
40 1178
45 987
50 830
55 701
60 595
65 507
70 433
75 371
80 319
85 276
90 239
95 208
100 181
105 158
110 139
115 122
120 108
125 95
Note that temp values are Celsius.
Here is the curve I am using:
-30 23828
-25 18494
-20 14453
-15 11369
-10 8999
-5 7168
0 5743
5 4627
10 3749
15 3053
20 2499
25 2056
30 1700
35 1412
40 1178
45 987
50 830
55 701
60 595
65 507
70 433
75 371
80 319
85 276
90 239
95 208
100 181
105 158
110 139
115 122
120 108
125 95
Note that temp values are Celsius.
Apologies for the misinformation.
Edit:Those values are indeed very close to the ones I posted. I measured them on my car and found both sensors (ECU and gauge) to be identical.
Edit:Those values are indeed very close to the ones I posted. I measured them on my car and found both sensors (ECU and gauge) to be identical.
Last edited by WestfieldMX5; Sep 3, 2013 at 07:22 AM.
Looks like your data is correct too Frank? Pretty close to my values, I don't think an apology is needed! 
stefanst, have you got a picture of the thermistor you are talking about? The ones I have measured are the three on the right in this pic (the two on the left are from an NA):

Here's my measuring rig:

Cheers

stefanst, have you got a picture of the thermistor you are talking about? The ones I have measured are the three on the right in this pic (the two on the left are from an NA):

Here's my measuring rig:

Cheers
Changed my post while you were typing the reply
.
After a 2nd look they indeed appear very close.
My data (blue) in the sub zero range was a bit harder to measure so there might be an error there (putting my test rig in the deep freeze with the leads through the door etc
)
Tim is your data the average of the 3 sensors? I only did one, so I'm gonna use your data now
.After a 2nd look they indeed appear very close.
My data (blue) in the sub zero range was a bit harder to measure so there might be an error there (putting my test rig in the deep freeze with the leads through the door etc
)Tim is your data the average of the 3 sensors? I only did one, so I'm gonna use your data now

Last edited by WestfieldMX5; Sep 3, 2013 at 07:23 AM.
Thread Starter
Senior Member
iTrader: (1)
Joined: Sep 2011
Posts: 1,215
Total Cats: 74
From: Lambertville, NJ
Very strange.
My thermistor is clearly different. I'm using stock for a '99. Whatever that is. I just spliced into the wire going into the gauge cluster.
I also tried a simple test and put a 100 Ohm resistor between ground and the WT gauge input on my gauge-cluster (unmodified). With 100 Ohms across the gauge stays at maybe 10:30 to 11:00. That indicates temperatures well below 160*F (70*C).
If your values were correct, we should be seeing more like 252*F (122*C) and the gauge needle should be waaay over on the right hand side at 100 Ohms.
So I did a quick and dirty cross-reference with my Megasquirt. This is the resulting table:
*F R
117 210.7
120 190.8
123 178.9
126 166.9
129 154.8
132 142.6
135 132.3
138 123.6
141 114.1
144 106.6
147 98.3
150 92.4
153 86.2
156 80.1
159 74.7
162 69.5
165 65.3
168 60.7
171 57.1
174 53.5
177 49.7
180 47.2
183 44.2
186 41.8
189 38.9
192 36.5
195 34.5
198 32.6
201 30.6
204 29.1
207 27.2
210 25.7
213 24.2
216 22.4
219 21.3
This curve gives us an R0 of 655Ohms and a B-Value of 4882 at T0 of 25*C. Of course this is under the assumption that my friend the Megasquirt gives me correct temperature readouts.
It looks like the stock temp senders have two NTCs built in- one for the gauge and one for the ECU. They apparently have different calibrations.
The one for the gauge is less than perfect- the curve goes pretty flat around the temperature range of interest- 100*C or so. So we lose some resolution here. I just may have to run the signal from the ECU to my little gadget.
My thermistor is clearly different. I'm using stock for a '99. Whatever that is. I just spliced into the wire going into the gauge cluster.
I also tried a simple test and put a 100 Ohm resistor between ground and the WT gauge input on my gauge-cluster (unmodified). With 100 Ohms across the gauge stays at maybe 10:30 to 11:00. That indicates temperatures well below 160*F (70*C).
If your values were correct, we should be seeing more like 252*F (122*C) and the gauge needle should be waaay over on the right hand side at 100 Ohms.
So I did a quick and dirty cross-reference with my Megasquirt. This is the resulting table:
*F R
117 210.7
120 190.8
123 178.9
126 166.9
129 154.8
132 142.6
135 132.3
138 123.6
141 114.1
144 106.6
147 98.3
150 92.4
153 86.2
156 80.1
159 74.7
162 69.5
165 65.3
168 60.7
171 57.1
174 53.5
177 49.7
180 47.2
183 44.2
186 41.8
189 38.9
192 36.5
195 34.5
198 32.6
201 30.6
204 29.1
207 27.2
210 25.7
213 24.2
216 22.4
219 21.3
This curve gives us an R0 of 655Ohms and a B-Value of 4882 at T0 of 25*C. Of course this is under the assumption that my friend the Megasquirt gives me correct temperature readouts.
It looks like the stock temp senders have two NTCs built in- one for the gauge and one for the ECU. They apparently have different calibrations.
The one for the gauge is less than perfect- the curve goes pretty flat around the temperature range of interest- 100*C or so. So we lose some resolution here. I just may have to run the signal from the ECU to my little gadget.
Well I've learnt my thing for the day, I always wondered what the extra pin was for! 
Frank, yes I did check all three sensors, however not a full range sweep. I will post more info in the morning, replying on my phone now.

Frank, yes I did check all three sensors, however not a full range sweep. I will post more info in the morning, replying on my phone now.
Factory handbook for the '99 says
for the ECU temp sensor
at 20°C(68°F) - 2.36 to 2.53 kohm
at 60°C(140°F) - 0.56 to 0.64 kohm
for the gauge temp sender
at 50°C(122°F) - 152 to 242 kohm
Factory handbook for the 2001 says
for the ECU temp sensor
at 20°C(68°F) - 2.27 to 2.74 kohm
at 80°C(176°F) - 0.29 to 0.34 kohm
for the gauge temp sender
at 50°C(122°F) - 186 to 204 kohm
for the ECU temp sensor
at 20°C(68°F) - 2.36 to 2.53 kohm
at 60°C(140°F) - 0.56 to 0.64 kohm
for the gauge temp sender
at 50°C(122°F) - 152 to 242 kohm
Factory handbook for the 2001 says
for the ECU temp sensor
at 20°C(68°F) - 2.27 to 2.74 kohm
at 80°C(176°F) - 0.29 to 0.34 kohm
for the gauge temp sender
at 50°C(122°F) - 186 to 204 kohm
Thread Starter
Senior Member
iTrader: (1)
Joined: Sep 2011
Posts: 1,215
Total Cats: 74
From: Lambertville, NJ
Hey Beeblebrox,
That makes sense. At 50*C my reading was approx. 184 Ohms. So if we replace KOhms with Ohms in your posting ;-) we are smack-dead in the middle of the range (152 - 242 Ohms).
ST
That makes sense. At 50*C my reading was approx. 184 Ohms. So if we replace KOhms with Ohms in your posting ;-) we are smack-dead in the middle of the range (152 - 242 Ohms).
ST
Thread Starter
Senior Member
iTrader: (1)
Joined: Sep 2011
Posts: 1,215
Total Cats: 74
From: Lambertville, NJ
Thanks everybody! I got it working. The temperature readout (via PC) agrees with the display in TS to within 2*F. The displayed temperature agrees as well. But the gauge is a bit slow in reacting. I may have to try and remove more grease.
Of course now I notice that the parallax-error is huge. Depending on where my head is in relation to the gauge I easily read 10*F more or less.
Oil-pressure display works too, but I don't have calibration curves for the pressure sending unit that a previous owner had installed, so I was just guessing. It displays 0 at rest, 25psi at hot idle and 60 at higher revs.
Now let's see how it performs over time.
Total cost:
approx. $25 for electronics
$135 for custom gauge faces (revlimiter.net Store - Version Warbird NB Miata gauge faces)
And many, many hours fiddling!
Of course now I notice that the parallax-error is huge. Depending on where my head is in relation to the gauge I easily read 10*F more or less.
Oil-pressure display works too, but I don't have calibration curves for the pressure sending unit that a previous owner had installed, so I was just guessing. It displays 0 at rest, 25psi at hot idle and 60 at higher revs.
Now let's see how it performs over time.
Total cost:
approx. $25 for electronics
$135 for custom gauge faces (revlimiter.net Store - Version Warbird NB Miata gauge faces)
And many, many hours fiddling!
Zaphod, it's strange that they are different values, all three of my thermistors read really close but I may have just fluked it and grabbed three 1999 ones.
Frank, my recorded data was so close to the DIY figures that I ended up using their datapoints and extrapolated the curve using Steinhart-Hart. I then compared the Steinhart-Hart curve to my data and it was spot on.
Frank, my recorded data was so close to the DIY figures that I ended up using their datapoints and extrapolated the curve using Steinhart-Hart. I then compared the Steinhart-Hart curve to my data and it was spot on.
If you have a look - the range is different, but the middle/average values are the same.
ECU
middle value at 20°C
99
~ 2.44kohm
'01+
~2.48kohm
Gauge temp sender
middle value@50°C
99
~197 ohm
'01 +
195 ohm
So I don't think the values are that different - I even remember that the ranges are different between the US and German handbooks for the years,
but the middle values stay the same.
For instance 99 Gauge temp sender:
German handbook (see above)
50°C - 152-242 ohm (not kohm of course) avrg. is 197
US handbook
50°C - 160-230 ohm avrg. is 195 (same as '01+ btw.)
Why this is - only Mazda knows...
ECU
middle value at 20°C
99
~ 2.44kohm
'01+
~2.48kohm
Gauge temp sender
middle value@50°C
99
~197 ohm
'01 +
195 ohm
So I don't think the values are that different - I even remember that the ranges are different between the US and German handbooks for the years,
but the middle values stay the same.
For instance 99 Gauge temp sender:
German handbook (see above)
50°C - 152-242 ohm (not kohm of course) avrg. is 197
US handbook
50°C - 160-230 ohm avrg. is 195 (same as '01+ btw.)
Why this is - only Mazda knows...




