Motion Control Single adjustables installed
Joined: Apr 2014
Posts: 18,643
Total Cats: 1,870
From: Beaverton, USA
So more dampening at lower speeds is when the car is reacting to driver input/turning. Where faster speed is the potholes.
<br />Linear you have to compromise these 2 and digressive you get the best of both worlds?
<br />Linear you have to compromise these 2 and digressive you get the best of both worlds?
Hmmm, my ARE built Penske shocks have linear pistons. Obviously Penske has digressive/digressive pistons available. Hell, Penske has pistons no other shock company has available.
Maybe since mine are purpose built for autox? Whatever the reason, I'm not going to question Guy Ankeny. At least not on building an autox shock, and for a CSP Miata no less. Last I remember Guy's shocks have been on all the CSP champ Miatas other than Peter's and Aro's in the last ten years.
But since this is a road race conversation, maybe they don't apply.
Maybe since mine are purpose built for autox? Whatever the reason, I'm not going to question Guy Ankeny. At least not on building an autox shock, and for a CSP Miata no less. Last I remember Guy's shocks have been on all the CSP champ Miatas other than Peter's and Aro's in the last ten years.
But since this is a road race conversation, maybe they don't apply.
yes- suspension tuning is always a compromise. Digressive is usually a better compromise vs. linear.
Joined: Apr 2014
Posts: 18,643
Total Cats: 1,870
From: Beaverton, USA
Hmmm, my ARE built Penske shocks have linear pistons. Obviously Penske has digressive/digressive pistons available. Hell, Penske has pistons no other shock company has available.<br /><br />
<br /><br /><br /><br />
<br /><br />Maybe since mine are purpose built for autox? Whatever the reason, I'm not going to question Guy Ankeny. At least not on building an autox shock, and for a CSP Miata no less. Last I remember Guy's shocks have been on all the CSP champ Miatas other than Peter's and Aro's in the last ten years.<br /><br />
<br /><br /><br /><br />
<br /><br />But since this is a road race conversation, maybe they don't apply.
<br /><br /><br /><br />
<br /><br />Maybe since mine are purpose built for autox? Whatever the reason, I'm not going to question Guy Ankeny. At least not on building an autox shock, and for a CSP Miata no less. Last I remember Guy's shocks have been on all the CSP champ Miatas other than Peter's and Aro's in the last ten years.<br /><br />
<br /><br /><br /><br />
<br /><br />But since this is a road race conversation, maybe they don't apply.
<br /><br />I'm supposed to believe everything I read on the internet, but my mommy says the internet isn't always right.
<br /><br />Now I'm lost. I should buy a book on this.
Thread Starter
Senior Member
iTrader: (3)
Joined: Nov 2011
Posts: 771
Total Cats: 39
From: Beaverton, OR
Ok, for whatever my previous graphs are not working so I'm re uploading everything.
No comments, I'll let people look at them and interpret for themselves
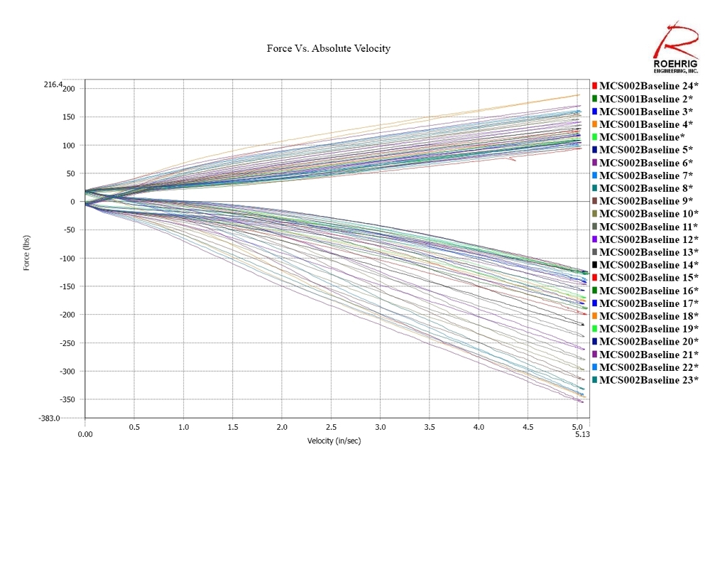
MCS Force v Absolute Velocity

MCS Force V Displacement

MCS Force vs Velocity

MCS Compression Close Rebound Open

Xida Rear Force v Velocity

Xida Rear Force v Absolute Velocity

Xida Force v. Displacement Rear

Xida Force v. Displacement Front

Xida Force v Absolute Velocity Rear

Xida Force v. Absolute Velocity Front

Xida Force v Velocity Front

Xida Force v. Absolute Velocity Front
No comments, I'll let people look at them and interpret for themselves
MCS Force v Absolute Velocity

MCS Force V Displacement

MCS Force vs Velocity

MCS Compression Close Rebound Open

Xida Rear Force v Velocity

Xida Rear Force v Absolute Velocity

Xida Force v. Displacement Rear

Xida Force v. Displacement Front

Xida Force v Absolute Velocity Rear

Xida Force v. Absolute Velocity Front

Xida Force v Velocity Front

Xida Force v. Absolute Velocity Front
Joined: Sep 2010
Posts: 8,152
Total Cats: 1,091
From: Lake Forest, CA
<p>Yep. the Xidas were so awesome that they broke the local dyno and had to be sent to california
</p><p>
</p><p>I want to say stuff, but I'm probably the last person who should say stuff.... but just one comment.</p><p><img src="https://cimg5.ibsrv.net/gimg/www.miataturbo.net-vbulletin/1024x791/80-149030_motion_control_single_adjustables_installed _short_2520f_2520vs_2520av_page_001_zpssnagdxmz_5a b091020ca42ef6b7019099f98a36c4499b4f08.jpg" title="" /><br /><br />This looks about like what Emilio had posted previously for the Xidas, no?</p>
</p><p>
</p><p>I want to say stuff, but I'm probably the last person who should say stuff.... but just one comment.</p><p><img src="https://cimg5.ibsrv.net/gimg/www.miataturbo.net-vbulletin/1024x791/80-149030_motion_control_single_adjustables_installed _short_2520f_2520vs_2520av_page_001_zpssnagdxmz_5a b091020ca42ef6b7019099f98a36c4499b4f08.jpg" title="" /><br /><br />This looks about like what Emilio had posted previously for the Xidas, no?</p>
The graph that keeps getting quoted is the same as Emilio posted. But what you guys are not understanding about that graph is that it is an AVERAGE. Yes, the rear Xidas are a true double digressive design, but look at the normal force vs. velocity graphs. Do you see that they start at a point, end at a point, then come back to the original point? This is the full stroke of the shock, forward and back. No shock will have the same line forward and back, but what you want to see is as little deviation as possible. This is called hysteresis. While the rears are a true double diggressive design, look at the deviation. That is A LOT. The fronts, on the other hand, appear to be diggressive in compression, and not so much on rebound. The hysteresis on the graphs on the front is not as bad, in fact it is pretty good. You can't just single out 1 graph (i.e. the graph that keeps getting quoted) and say "well look at that, it is just as good as we thought". The fact is that the rear shock and front shock have different graphs, and the rear shock is not of equal quality as the front.
The MCS, on the other hand, are very consistent. However, I wonder why they didn't do a diggressive piston either, they seem to be quite linear to me.
Disclaimer: I'm not saying Xidas suck or anything, just saying what's up with the rear shock quality? I have no affiliation with MCS, just stating what I see in the graphs.
The MCS, on the other hand, are very consistent. However, I wonder why they didn't do a diggressive piston either, they seem to be quite linear to me.
Disclaimer: I'm not saying Xidas suck or anything, just saying what's up with the rear shock quality? I have no affiliation with MCS, just stating what I see in the graphs.
Thread Starter
Senior Member
iTrader: (3)
Joined: Nov 2011
Posts: 771
Total Cats: 39
From: Beaverton, OR
Hysterisis. And lots of it
Also the reason the mcs are linear is because they use a proprietary tulip valve inside rather than a needle valve like everything else out there.
I spoke to Lex at MCS and he spoke very highly of Penske's ability to make a race quality needle valve damper. Considering the companies are direct competitors and meet regularly in major sports car series I found this to be very interesting.
Also the reason the mcs are linear is because they use a proprietary tulip valve inside rather than a needle valve like everything else out there.
I spoke to Lex at MCS and he spoke very highly of Penske's ability to make a race quality needle valve damper. Considering the companies are direct competitors and meet regularly in major sports car series I found this to be very interesting.
Joined: Sep 2010
Posts: 8,152
Total Cats: 1,091
From: Lake Forest, CA
<p>Thanks for the explanation Jack. I see that now.</p><p> </p><p>There's no question the MCS makes prettier, smoother graphs. Very interesting.</p><p> </p><p>the valving is also clearly very different, right? What are thoughts on valving differences? Has anyone actually solidly stated if digressive is better than the linear MCS, or no?</p><p>Pretty clear it seems that the MCS are higher quality dampers. But are they actually better for a track miata with the different valving?</p><p> </p>
I would not come to that conclusion based on the plots published. You might notice the scales are different between the two samples. This affects the deltas and plot curves.
There is more to the damper than meets the eye if you take them both apart. Surface finishes, deburring, coatings.
There is more to the damper than meets the eye if you take them both apart. Surface finishes, deburring, coatings.
__________________
Joined: Apr 2014
Posts: 18,643
Total Cats: 1,870
From: Beaverton, USA
<p>Will someone please take all of that data and normalize it.</p><p>Also, it looks like the xidas have a huge range of adjustment. Why are we not comparing say the middle or both ends of the spectrum.</p><p>The xida almost changes the shape of the plot over the adjustment window.</p><p>Martin, do you have this data in any format other than pictures?</p>
Joined: Sep 2010
Posts: 8,152
Total Cats: 1,091
From: Lake Forest, CA
<p>Affects the deltas and curves, yes, but doesn't affect the presence or absence of hysteresis, right?</p><p>Don't get me wrong, I'm still happy with the direction I chose to take. Just trying to learn here.</p>
<p>Will someone please take all of that data and normalize it.</p><p>Also, it looks like the xidas have a huge range of adjustment. Why are we not comparing say the middle or both ends of the spectrum.</p><p>The xida almost changes the shape of the plot over the adjustment window.</p><p>Martin, do you have this data in any format other than pictures?</p>
__________________
<p></p><p> </p><p>Basically its what you see. Force over displacment hardly changes, especially in comparison to the other dyno graph. If anything, I think that's more of an indicator of "quality" than force vs. velocity. Hysteresis is affected by a lot of things, including the piston's adjustment range (and where its currently being used in that range). Also the pressure difference between the comp/rebound side of the piston is a factor. I am sure the piston's design is a large contributing factor too and I have no clue about that so don't ask me which is better.</p><p> </p><p>Sorry, I don't really do a lot of shock related stuff, just kinda going off some reading and old h-fsae experience. Could be wrong. Xida is certainly not perfect, but even with hysteresis the graph <em>shape </em>looks more like what you want out of a race shock. Assuming you don't have shock travel speeds of 9"/s which is pretty intense...</p>









